Перейти к:
Оценка достаточности нормативов финансирования паллиативной медицинской помощи в ХМАО-Югре
https://doi.org/10.35266/2949-3455-2025-3-4
Аннотация
Статья посвящена финансированию паллиативной медицинской помощи в Ханты-Мансийском автономном округе – Югре. Исследование выявляет проблему недостаточного финансового обеспечения бюджетных учреждений, что препятствует оказанию качественной и доступной паллиативной помощи населению. Целью авторов является анализ существующих нормативов финансирования и оценка их достаточности для удовлетворения потребностей населения в паллиативной помощи. Для достижения этой цели используются методы анализа нормативных актов, эмпирических данных и сравнительного анализа затрат. Авторы приходят к выводу, что действующие нормативы финансирования значительно ниже реальных затрат на оказание паллиативной помощи. Результаты показывают, что значительное количество людей, нуждающихся в паллиативной помощи, остаются без необходимого обслуживания, что указывает на системные проблемы в финансировании данной услуги. Научная новизна работы заключается в комплексном анализе нормативов финансирования паллиативной медицинской помощи в Ханты-Мансийском автономном округе – Югре, позволяющем выявить недостатки в существующей модели финансирования. Авторы детализируют структуру затрат на оказание паллиативной помощи, сравнивая нормативные затраты с реальной себестоимостью услуг. Они подтверждают недостаточность текущих нормативов и предлагают конкретные рекомендации по их пересмотру, что может служить основой для дальнейших реформ в области финансирования здравоохранения. Практическая значимость исследования заключается в возможности использования полученных данных для пересмотра существующих нормативов и улучшения финансового обеспечения паллиативной медицинской помощи. Результаты статьи могут быть полезны для государственных органов, занимающихся разработкой и реализацией программ здравоохранения, а также для научных исследований в области финансирования медицинских услуг, способствуя повышению качества и доступности паллиативной помощи для населения.
Ключевые слова
Для цитирования:
Каратаева Г.Е., Мирошниченко Е.А. Оценка достаточности нормативов финансирования паллиативной медицинской помощи в ХМАО-Югре. Вестник Сургутского государственного университета. 2025;13(3):42-52. https://doi.org/10.35266/2949-3455-2025-3-4
For citation:
Karataeva G.E., Miroshnichenko E.A. Assessment of palliative care financing standards sufficiency in Khanty-Mansi Autonomous Okrug – Yugra. Surgut State University Journal. 2025;13(3):42-52. (In Russ.) https://doi.org/10.35266/2949-3455-2025-3-4
ВВЕДЕНИЕ
Актуальность исследования определяется растущей потребностью в паллиативной помощи среди населения и недостаточной эффективностью текущих нормативов финансирования, что приводит к дефициту ресурсов и снижению качества медицинских услуг. В условиях старения населения и увеличения числа хронических заболеваний необходимость в адекватном финансировании становится критически важной для обеспечения доступности и качества паллиативной помощи.
Важность темы подтверждается тем, что вопросы нормативов затрат на оказание бюджетными учреждениями здравоохранения медицинской помощи населению циклично поднимаются в профессиональном сообществе, на уровне Правительства и Счетной палаты РФ, каждый раз рассматриваются новые подходы по анализу их достаточности для обеспечения граждан нашей страны качественной и доступной медицинской помощью.
Целью исследования является анализ нормативов финансирования учреждений здравоохранения Ханты-Мансийского автономного округа – Югры и оценка их достаточности для удовлетворения потребностей населения в паллиативной помощи.
МАТЕРИАЛЫ И МЕТОДЫ
Для проведения данного исследования были использованы следующие материалы: научные статьи и публикации, посвященные вопросам финансирования здравоохранения и паллиативной медицины; федеральные законы, постановления правительства, приказы Министерства здравоохранения Российской Федерации, регулирующие вопросы оказания паллиативной медицинской помощи и ее финансирования; данные Росстата и других официальных источников, касающиеся численности населения, заболеваемости, потребности в паллиативной помощи и других ключевых показателей; финансовая документация, связанная с бюджетированием и финансированием медицинских учреждений, участвующих в исследовании.
Методы исследования: проведен глубокий анализ нормативов финансирования паллиативной медицинской помощи в ХМАО-Югре, рассматривались как общие принципы распределения бюджетных средств, так и специфические аспекты финансирования конкретных медицинских услуг; проводилось сопоставление российских нормативов с аналогичными данными международных практик, что позволило выявить сильные и слабые стороны отечественной системы финансирования; использовалась модель расчета финансового обеспечения медицинской помощи на основе средних нормативов финансовых затрат на единицу объема паллиативной помощи; качественный анализ включал сбор и интерпретацию мнений экспертов в области здравоохранения и паллиативной медицины; анализировались количественные показатели, такие как объемы финансирования, численность населения, потребность в услугах и другие статистические данные.
Комплекс методов позволил получить объективную картину текущего состояния финансирования паллиативной медицинской помощи в ХМАО-Югре и оценить его соответствие реальным потребностям населения.
РЕЗУЛЬТАТЫ И ИХ ОБСУЖДЕНИЕ
В нашей стране еще в 2019 г. началось становление относительно нового направления целевых программ в сфере здравоохранения, связанного с поддержкой части населения, нуждающейся в паллиативной медицинской помощи. На эти нужды из федерального бюджета ежегодно выделяется свыше 4 млрд руб. субсидий и до 1 млн руб. из региональных бюджетов.
В России так же, как и в международных моделях финансирования паллиативной помощи, в составе источников финансирования присутствуют государственное финансирование, частное финансирование и поддержка со стороны благотворительных организаций. Страховая медицина (ОМС) присутствует отнюдь не во всех моделях, в международной практике она чаще всего сочетается с универсальной системой здравоохранения.
Согласно закону об основах охраны здоровья граждан в РФ отечественная модель финансирования паллиативной помощи обеспечивается за счет бюджетных ассигнований бюджетов субъектов РФ, выделяемых в рамках территориальных программ государственных гарантий бесплатного оказания гражданам медицинской помощи [1, ст. 83 п. 4]. В международных моделях финансовое обеспечение медицинской услуги осуществляется из средств государственного бюджета при поддержке благотворительных организаций [2].
Например, в Канаде хосписная и паллиативная помощь на 50 % финансируется из благотворительных пожертвований. В Англии благотворительные хосписы для взрослых в среднем примерно на одну треть финансируются правительством или Национальной службой здравоохранения, а детские хосписы получают значительно меньший объем финансирования. В Малайзии финансовое обеспечение происходит за счет благотворительных пожертвований, так как услуга паллиативной помощи первостепенно бесплатна [2].
По данным Всемирной организации здравоохранения, во всем мире численность людей, нуждающихся в получении паллиативной помощи, превышает 40 млн человек ежегодно, однако лишь 14 % получают ее [3].
Отечественная модель финансирования здравоохранения ежегодно охватывает 700–900 тыс. чел. [4]. Однако ее доступность имеет сильные отличия по субъектам нашей страны (рисунок).

Рисунок. Доступность паллиативной помощи в РФ
Примечание: составлено авторами по источнику [5].
Согласно статистическим данным, собранным Росстатом, в 2022 г. (последний год, за который доступна информация) в паллиативной медицинской помощи нуждались 1 719 тыс. человек, из которых лишь 903,9 тыс. человек (52 %) получили соответствующую помощь [4]. Таким образом, 815 тыс. нуждающихся остались без медицинской помощи, которая предусмотрена законом как бесплатная и является частью государственных гарантий медицинской помощи. Однако, если верить данным благотворительного фонда помощи хосписам «Вера», людей, не охваченных помощью, гораздо больше.
Основным фактором недофинансирования этой услуги является то, что финансовое обеспечение паллиативной медицинской помощи происходит не из центра. Услуга финансируется на уровне регионального бюджета и не входит в ОМС. Таким образом, паллиативная медицинская помощь серьезно «завязана» на текущих возможностях региона.
Говоря о международных моделях, стоит также отметить имеющуюся серьезную дифференциацию. В большей части зарубежных стран отсутствует возможность получения паллиативной помощи, основной причиной чему является низкий уровень дохода в стране. Так, например, в Западно-Тихоокеанском, Африканском регионах и в Юго-Восточной Азии проживает более 64 % взрослых, нуждающихся в паллиативной помощи, из которых 76 % проживают в странах с низким и средним уровнем дохода. На долю Европейского региона и Америку (Северную и Южную) приходится 30 % взрослого населения, нуждающегося в помощи, а на Восточно-Средиземноморский регион 4 %. Свыше 97 % детей в возрасте от 0 до 19 лет, нуждающихся в паллиативной медицинской помощи, также проживают в странах с низким и средним уровнем дохода [2].
В 47 странах мира (24 %) (по данным Атласа мира по паллиативной помощи) отсутствует паллиативная деятельность. То есть 235 млн чел. (3,1 % населения мира) остаются без соответствующей медицинской помощи. А в 22 странах (11 %) присутствует всеобщее оказание паллиативной помощи 5,7 % населения мира. Число стран, в которых паллиативная медицинская помощь находится на стадии продвинутой интеграции в систему здравоохранения, незначительно превышает 30 (15 % стран мира). Таким образом, лишь 14,2 % населения мира гарантирована бесплатная, качественная и доступная паллиативная медицинская помощь.
Исследование уровня паллиативной помощи в разных странах мира, проведенное компанией Economist Intelligence Unit, позволило сформировать мировой рейтинг качества смерти (создания условий для «хорошей жизни до самого конца»). В оценке приняло участие 80 стран, ранжирование оценки произошло по 24 качественным и количественным показателям, объединенным в 4 группы: базовые социальные и медицинские услуги для людей, находящихся в конце жизни; наличие и доступность услуг; стоимость услуг; качество услуг.
Страной с наивысшим баллом по качеству смерти оказалась Великобритания (93,9). Далее идет Австрия (91,6), Новая Зеландия (87,6), Ирландия (85,8) и Бельгия (84,5). Россия находится на 48-м месте рейтинга с индексом 37,2 [5].
В Великобритании с населением 63 млн человек расположено 46 детских учреждений, оказывающих паллиативную помощь, а в нашей стране при населении 143 млн – лишь 3 учреждения [6].
По охвату населения Россия отстает от многих международных показателей. Например, в Великобритании действует универсальная система здравоохранения, где все граждане имеют равный доступ к паллиативной помощи. В России же финансирование паллиативной помощи зависит от региональных программ, что может создавать неравенство в доступе к услугам в зависимости от места жительства.
Международные примеры показывают высокую доступность паллиативной помощи, тогда как в России доступность остается средней, с ограничениями в отдельных регионах.
Проведенное сравнение демонстрирует основные отличия между международными моделями и российской системой финансирования паллиативной помощи, подтверждает необходимость дальнейшего совершенствования последней для достижения международного уровня доступности и качества услуг.
Как известно, финансирование бюджетных учреждений за счет средств бюджетов бюджетной системы РФ происходит в основном за счет финансового обеспечения выполнения государственного задания. Его объем рассчитывается на основании нормативных затрат на оказание государственных услуг в соответствующей сфере [7, ст. 69.2]. Нормативы финансирования устанавливаются исходя из информации о единице показателя, определяющей объем государственной услуги, отраженный в общероссийском базовом (отраслевом) перечне, а также показателей, отображающих содержание и условия оказания услуги, и на основе базового норматива затрат, корректирующих коэффициентов (территориальный и отраслевой коэффициенты) к базовому нормативу затрат в сфере здравоохранения [8, ст. 2].
Формула имеет вид:
Ni = Niбаз × Kотр × Kтер, (1)
где Niбаз – базовый норматив затрат на оказание i-й государственной услуги;
Kотр – отраслевой корректирующий коэффициент;
Kтер – территориальный корректирующий коэффициент.
Общий объем финансирования Территориальной программы государственных гарантий бесплатного оказания гражданам медицинской помощи в ХМАО-Югре на 2024 г. составил 113 320 174,5 тыс. руб. в том числе: средства бюджета автономного округа – 52 564 450,5 тыс. руб., средства обязательного медицинского страхования – 60 755 724,0 тыс. руб. [9].
Подушевые нормативы установлены в расчете на 1 человека в год за счет средств бюджета автономного округа и средств обязательного медицинского страхования на одно застрахованное лицо, они составляют в 2024 г. – 67 514,9 руб., из них: за счет средств бюджета автономного округа – 30 127,6 руб., за счет средств обязательного медицинского страхования – 37 387,3 руб. [9].
Расчет объемов медицинской помощи производится путем произведения среднего норматива объема медицинской помощи на количество застрахованных лиц в субъектах РФ [10]:
Vi = Na × Ii , (2)
где Vi – объем медицинской помощи i-го субъекта РФ;
Na – средний норматив объема медицинской помощи в разрезе условий оказания медицинской помощи;
Ii – численность застрахованного населения i-го субъекта РФ.
Численность застрахованных лиц в Югре в 2024 г. составила 1 625 037 чел., а базовый (средний) подушевой норматив финансирования медицинской помощи по всем видам и условиям ее предоставления составил 601,13 руб. в месяц (7 213,56 руб. в год) [11].
Расчет финансового обеспечения медицинской помощи производится на основе данных среднего норматива финансовых затрат на единицу объема медицинской помощи, объема медицинской помощи и установленного для каждого субъекта РФ коэффициента дифференциации [10] по формуле:
Fi = Vi × Nf × CDi, (3)
где Fi – финансовое обеспечение медицинской помощи i-го субъекта РФ;
Vi – объем (количество случаев) медицинской помощи;
Nf – средний норматив финансовых затрат медицинской помощи в разрезе условий оказания медицинской помощи;
CDi – коэффициент дифференциации i-го субъекта РФ.
Коэффициент дифференциации в ХМАО-Югре в 2024 г. в разрезе всех медицинских организаций составил 1,767 [11].
Средний размер финансового обеспечения медицинской помощи, определенный на основе нормативов объемов медицинской помощи и финансовых затрат на единицу объема медицинской помощи, установленных территориальной программой обязательного медицинского страхования, в амбулаторных условиях составляет 15 783,73 руб., в том числе за счет средств субвенции ФОМС 12 520,05 руб.
Общая модель расчета финансирования медицинской помощи, основанная на средних нормативных затратах на единицу объема услуг, включает следующие этапы:
Этап 1. Определение среднего норматива затрат на единицу объема медицинской помощи. На этом этапе формируется средний норматив финансовых затрат на единицу объема конкретной медицинской услуги; в свою очередь, данный норматив определяется исходя из расходов на эту услугу (сумма прямых и косвенных затрат).
Этап 2. Определение объема медицинской помощи. Необходимо определить общий объем медицинской помощи, предоставленный в конкретные временные рамки (обычно это один год). Значение объема может быть выражено в количестве посещений, госпитализаций, процедурах и пр.
Этап 3. Расчет общего финансового обеспечения. Данное значение достигается путем произведения значений, полученных на первых двух этапах:
F = V × N, (4)
где F – общее финансовое обеспечение медицинской помощи;
V – объем медицинской помощи;
N – средний норматив затрат на единицу объема медицинской помощи.
Этап 4. Корректировка на региональные коэффициенты. Ввиду отличия регионов в уровне жизни, развитии конкретной медицинской услуги, уровне заработной платы, финансовой ситуации в субъекте нашей страны, а также инфраструктуры при расчете финансового обеспечения медицинской помощи может потребоваться корректировка полученного значения на региональные коэффициенты.
Этап 5. Учет инфляции и иных факторов. Ежегодно происходит пересмотр нормативов финансовых затрат медицинских услуг в соответствии с имеющейся инфляцией, политической и экономической ситуацией в стране.
Представленная модель дает возможность гибкого управления бюджетом учреждений здравоохранения. Это также помогает оценить достаточность финансового обеспечения медицинской услуги.
Рассмотрим достаточность обеспечения нормативов на примере одной из медицинских услуг «Паллиативная медицинская помощь, амбулаторно», оказываемой БУ «Сургутская городская клиническая поликлиника №2», сравнив норматив с реальной себестоимостью услуги в регионе.
Воспользуемся формулой (1) для определения нормативных затрат на оказание вышеупомянутой услуги (N):
N = 1 000 × 0,7341 × 1,3623 = 1 000 руб. (5)
Согласно приказу Департамента здравоохранения ХМАО-Югры базовый норматив затрат на оказание паллиативной медицинской помощи всеми учреждениями здравоохранения региона составляет 1 000 руб.
Значения отраслевого и территориального корректирующих коэффициентов соответственно равны 1,3632 и 0,7341. Таким образом, норматив финансовых затрат медицинской помощи составил 1 000 руб.
Объем услуги, согласно государственному заданию поликлиники, в 2024 г. по паллиативной медицинской помощи составил 1 053 единицы (число посещений).
Таким образом, размер субсидии (S), необходимой для реализации государственной услуги Сургутской поликлиникой, равен произведению нормативных затрат на оказание этой самой услуги на ее объем:
S = 1 053 × 1 000 = 1 053 000 руб. (6)
В ХМАО-Югре до бюджетных учреждений здравоохранения, оказывающих паллиативную помощь, доводятся субсидии на иные цели – «Субсидия в целях развития паллиативной медицинской помощи», которая направлена на покрытие затрат на приобретение медикаментов, лекарственных препаратов и прочих расходных материалов для оказания паллиативной помощи ввиду того, что норматив финансовых затрат не учитывает таковые расходы при оказании медицинской услуги. В 2024 г. размер субсидии, доведенной до Сургутской поликлиники №2, составил 3 557 974,67 руб. Тогда итоговое значение субсидии (S1):
S1 = 1 053 000 + 3 557 974,67 = 4 610 974,67 руб. (7)
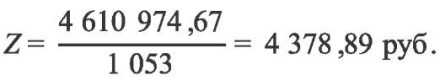
Исходя из этого, затраты на одного получателя медицинской услуги (Z) согласно нормативу составят:
(8)
Чтобы ответить на вопрос, достаточно ли этих средств для оказания населению качественной и доступной медицинской помощи, необходимо определить реальную себестоимость услуги. Однако стоит отметить, что проведенные расчеты могут иметь погрешность. Данные ограничения присутствуют ввиду отсутствия в открытом доступе точных данных, необходимых для расчета себестоимости услуги в регионе.
Воспользуемся действующей инструкцией по расчету стоимости медицинских услуг, утвержденной президентом Российской академии медицинских наук В. И. Покровским. Согласно документу, расчет простой медицинской услуги производится как сумма прямых и косвенных затрат. В число первых входит: расходы на оплату труда, начисления на выплаты по оплате труда, материальные затраты, потребляемые в процессе оказания медицинской услуги (медикаменты, перевязочные средства, продукты питания, одноразовые медицинские принадлежности), износ мягкого инвентаря, износ оборудования, а также прочие расходы. Ко вторым относят затраты, которые необходимы для обеспечения деятельности учреждения, но не потребляемые непосредственно в процессе оказания медицинской услуги: оплата труда общеучрежденческого персонала, начисления на оплату труда таковых сотрудников, хозяйственные затраты (затраты на материалы и предметы для текущих целей, на канцелярские товары, инвентарь и оплату услуг, включая затраты на текущий ремонт), затраты на командировки и служебные разъезды, прочие затраты. Косвенные затраты относятся на стоимость медицинских услуг через расчетные коэффициенты [12].
Рекомендуемые штатные нормативы оказания паллиативной медицинской помощи определяют 1 должность врача по паллиативной медицинской помощи на 100 тыс. взрослого населения и 2 должности медицинской сестры на 1 должность врача по паллиативной медицинской помощи [13].
В среднем в России врач паллиативной медицинской помощи в государственном учреждении имеет оплату труда около 40–50 тыс. руб. (в частых учреждениях сумма достигает 170 тыс. руб.). В анализируемом бюджетном учреждении здравоохранения Сургутской поликлинике №2 соблюдены рекомендации относительно оказания паллиативной помощи. На оказание данной услуги выделены 2 штатных сотрудника: заведующий отделением – фельдшер (1 ставка, оклад в 2024 г. составил 17 900 руб.) и специалист по социальной работе (1 ставка с окладом 18 500 руб.). С учетом всех надбавок и выплат ежемесячный фонд оплаты труда в 2024 г. составил соответственно 115 383 и 81 400 руб. (согласно данным, предоставленным бюджетным учреждением).
Как было сказано ранее, средства, необходимые для материального оснащения оказания паллиативной помощи поликлиникой (медикаменты, лекарственные препараты и расходные принадлежности), доводятся до учреждения путем предоставления субсидии на иные цели. В 2024 г. Сургутская поликлиника получила субсидии в целях развития паллиативной медицинской помощи в размере 3 557 974,67 руб.
Положением об организации оказания паллиативной помощи установлен стандарт оснащения кабинета паллиативной медицинской помощи (таблица).
Таблица
Стандарт оснащения кабинета паллиативной медицинской помощи
№п/п | Наименование | Требуемое количество, шт. |
1 | Рабочее место врача | 1 |
2 | Рабочее место медицинской сестры | 1 |
3 | Весы для взвешивания больных | 1 |
4 | Кушетка медицинская | 1 |
5 | Термометр медицинский | 1 |
6 | Стетофонендоскоп | по числу врачей |
7 | Тонометр для измерения артериального давления | 1 |
8 | Шкаф медицинский | 1 |
9 | Шкаф для хранения специальных рецептурных бланков для выписывания наркотических и психотропных лекарственных препаратов | 1 |
10 | Ультрафиолетовая бактерицидная установка | по потребности |
Примечание: составлено авторами по источнику [13].
Согласно данному перечню, примерное значение затрат составляет 218 385 руб., значение среднего износа оборудования 46 %.
Затраты на коммунальные услуги (электроэнергия, вода, отопление и прочее) составляют 32 %. Данное значение рассчитано как среднее значение общехозяйственных затрат по поликлинике относительно прямых затрат, в %.
Таким образом, фактическая себестоимость (С) оказания паллиативной медицинской помощи Сургутской поликлиникой №2 прикрепленному населению составила:
С = (115 383 + 81 400) × 12 + 3 557 974,67 +
+ 218 385 + 218 385 × 0,46 + (5 919 370,67 ×
× 0,32) = 8 132 411,38 руб. (9)
Путем сложения прямых и косвенных затрат Сургутской поликлиники мы определили общую сумму затрат на оказание паллиативной помощи.
Так как данную услугу в 2024 г. получило 1 053 единицы, то фактическая себестоимость оказания услуги «Паллиативная медицинская помощь, амбулаторно» на 1 получателя данной услуги (С1):
(10)
Таким образом, себестоимость единицы услуги «Паллиативная медицинская помощь» в Сургутской городской клинической поликлинике №2 в 2024 г. составила 7 723,09 руб. Норматив на одного получателя услуги в 2024 г. составил 1 000 руб. и 4 378,89 с учетом затрат на медикаменты. Из чего следует, что услуга паллиативной медицинской помощи недофинансирована. Учреждение вынуждено «оттягивать» средства с других услуг или изыскивать их из платных медицинских услуг, которые ограничены своей мощностью.
Проведя ряд несложных расчетов на примере одного из учреждений здравоохранения, мы определили, что в ХМАО-Югре услуга паллиативной медицинской помощи существенно недофинансирована, что подтверждается значительным отставанием норматива затрат медицинской помощи от ее фактической себестоимости.
ЗАКЛЮЧЕНИЕ
Изучив постановления о Территориальной программе государственных гарантий в разных регионах, можно заметить противоречивость тарифов на оказание паллиативной медицинской помощи и их повсеместное отставание от фактических затрат.
Учитывая важность паллиативной медицинской помощи и выявленной недостаточности имеющегося норматива затрат медицинской помощи, целесообразно рассмотрение следующих рекомендаций для обеспечения доступной медицинской помощи всем, кто в ней нуждается:
- Финансирование. Включение финансового обеспечения паллиативной помощи на всех уровнях национального бюджета поспособствует всеобщему охвату медицинской помощи нуждающемуся населению. Поступление средств из федерального бюджета не только увеличит финансирование медицинской услуги, но и внесет вклад в развитие сферы и повысит качество оказываемых услуг.
- Нормативы финансовых затрат. Необходимо провести тщательный анализ действующих нормативов финансирования паллиативной помощи и адаптировать их к текущей ситуации и ценам в стране путем их увеличения. Это обеспечит оптимальный уровень финансирования услуги для покрытия медицинскими учреждениями всех затрат, связанных с непосредственным оказанием паллиативной помощи.
- Интеграция паллиативной помощи в систему ОМС. Финансирование паллиативной помощи в том числе за счет средств ОМС позволит улучшить качество и доступность предоставляемых медицинскими учреждениям услуг, а прежде всего обеспечит стабильное финансирование. Также необходимо рассмотреть вопрос о новом тарифном соглашении, учитывающем все расходы, необходимые для оказания медицинской услуги, куда включены рыночные цены на оборудование, административные расходы, медикаменты и прочие расходные материалы.
- Развитие кадрового потенциала и инфраструктуры. Ввиду отсутствия в нашей стране достаточного количества врачей паллиативной помощи необходимо обеспечить регулярное прохождение медицинскими работниками, связанными с оказанием паллиативной помощи, курсов повышения квалификации и соответствующего обучения. Важно осуществлять это в очном формате и с отрывом от основной работы. Это избавит медицинские учреждения от текучести кадров. Также необходимо увеличить количество медицинских центров паллиативной помощи, что значительно снизит нагрузку на имеющиеся и даст возможность получения необходимой помощи большему количеству пациентов.
- Инновации. Важно обеспечить население, нуждающееся в паллиативной помощи, возможностью дистанционного консультирования и мониторинга их состояния здоровья. Это не только поможет снять нагрузку с медицинских учреждений, но и повысит охват пациентов, нуждающихся в помощи, в особенности маломобильной их части, что также сократит расходы на транспортировку пациентов.
- Мониторинг. Необходимо создать надежную информационную базу для расширения доступа к паллиативной помощи, позволяющую отслеживать количество пациентов, нуждающихся в помощи, результаты оказания медицинской помощи, экономическую эффективность паллиативной помощи и ее влияние на жизнь отдельных пациентов и систему здравоохранения в целом.
- Информирование населения. Бóльшая часть лиц, нуждающихся в паллиативной помощи, не знает о своем праве на получение необходимой медицинской помощи на бесплатной основе. Что является большим ограничением для развития паллиатива во всем мире. Для этого необходимо повысить ознакомление населения с имеющимся правом и рассказать о важности и доступности паллиативной помощи путем проведения специальных кампаний. Это поможет уменьшить стигматизацию и увеличит спрос на услуги. Также сотрудничество с местными и национальными благотворительными фондами привлечет дополнительные ресурсы и способствует поддержке проектов в области паллиативной помощи.
Перечисленный ряд рекомендаций предназначен для всестороннего улучшения системы финансового обеспечения паллиативной помощи в ХМАО-Югре, однако они могут быть применены и на государственном уровне. Их реализация потребует тесного взаимодействия между органами власти, медицинскими учреждениями, общественными организациями и населением.
Список литературы
1. Об основах охраны здоровья граждан в Российской Федерации : федер. закон от 21.11.2011 № 323-ФЗ (ред. от 28.12.2024). Доступ из СПС «КонсультантПлюс».
2. Коннор С., Моррис К., Харамильо Э. и др. Атлас мира по паллиативной помощи / пер. с англ. Г. Ш. Юнусовой. Лондон, 2020. 2-е изд. 137 с.
3. Паллиативная медицинская помощь. URL: https://www.who.int/ru/news-room/fact-sheets/detail/palliative-care (дата обращения: 10.01.2025).
4. Лакова К., Пирогова Е. В России больше 1,7 млн неизлечимо больных людей, которым нужен особый уход. Но его получает только половина от всех нуждающихся – или даже меньше. URL: https://tochno.st/materials/v-rossii-bolse-17-mln-neizlecimo-bolnyx-liudei-kotorym-nuzen-osobyi-uxod-noego-polucaet-tolko-polovina-ot-vsex-nuzdaiushhixsia-ili-daze-mense (дата обращения: 15.01.2025).
5. Рейтинг качества смерти в странах мира. URL: https://gtmarket.ru/ratings/quality-of-death-index?ysclid=m6ff0qzszw645875217 (дата обращения: 10.01.2025).
6. Татарникова К. Как хосписная помощь в России меняет повестку общества, государства и бизнеса и объединяет врачей и пациентов. URL: https://plus.rbc.ru/specials/fond_vera (дата обращения: 10.01.2025).
7. Бюджетный кодекс Российской Федерации от 31.07.1998 № 145-ФЗ (ред. от 24.06.2025). Доступ из СПС «КонсультантПлюс».
8. Об утверждении общих требований к определению нормативных затрат на оказание государственных (муниципальных) услуг в сфере здравоохранения, применяемых при расчете объема субсидии на финансовое обеспечение выполнения государственного (муниципального) задания на оказание государственных (муниципальных) услуг (выполнение работ) государственным (муниципальным) учреждением : приказ Минздрава России от 25.06.2015 № 366н. Доступ из СПС «КонсультантПлюс».
9. О Территориальной программе государственных гарантий бесплатного оказания гражданам медицинской помощи в Ханты-Мансийском автономном округе – Югре на 2024 год и на плановый период 2025 и 2026 годов (с изм. на 12.08.2024). URL: https://docs.cntd.ru/document/407032938/titles/1NJ31F7 (дата обращения: 10.01.2025).
10. Федяев Д. В., Ковалева С. А., Герасимова К. В. Оценка сбалансированности нормативов программы государственных гарантий оказания гражданам РФ бесплатной медицинской помощи // Современная фармакоэкономика и фармакоэпидемиология. 2020. Т. 13, № 3. С. 283–290. https://doi.org/10.17749/2070-4909/farmakoekonomika.2020.057.
11. Дополнительное соглашение № 11 к тарифному соглашению в системе обязательного медицинского страхования Ханты-Мансийского автономного округа – Югры на 2024 год. URL: https://dzhmao.admhmao.ru/gosudarstvennye-programmy/tpgg/tarifnoe-soglashenie/vnesennye-izmeneniya-iaktualnye-redaktsii-2024-god/10862895/28-11-2024/ (дата обращения: 10.01.2025).
12. Инструкция по расчету стоимости медицинских услуг. URL: https://normativ.kontur.ru/document?moduleId=1&documentId=72875 (дата обращения: 15.01.2025).
13. Об утверждении порядка оказания паллиативной медицинской помощи взрослому населению : приказ Минздрава РФ от 14.04.2015 № 187н. URL: https://www.medkirov.ru/docs/id/4633FA (дата обращения: 15.01.2025).
Об авторах
Г. Е. КаратаеваРоссия
доктор экономических наук, профессор
Е. А. Мирошниченко
Россия
магистрант
Рецензия
Для цитирования:
Каратаева Г.Е., Мирошниченко Е.А. Оценка достаточности нормативов финансирования паллиативной медицинской помощи в ХМАО-Югре. Вестник Сургутского государственного университета. 2025;13(3):42-52. https://doi.org/10.35266/2949-3455-2025-3-4
For citation:
Karataeva G.E., Miroshnichenko E.A. Assessment of palliative care financing standards sufficiency in Khanty-Mansi Autonomous Okrug – Yugra. Surgut State University Journal. 2025;13(3):42-52. (In Russ.) https://doi.org/10.35266/2949-3455-2025-3-4









